学校主页
首页
部门简介
思政教育
学生资助
教育捐赠
心理健康
团学活动
事务中心
信息公开
当前位置:
首页
>>
学生资助
>> 正文
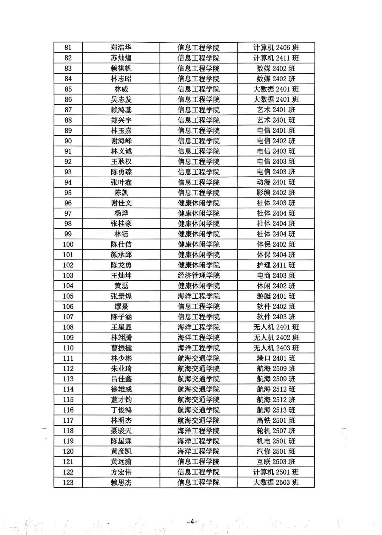
泉州海洋职业学院2025-2026学年第一学期退役士兵助学金学生名单公式
发布日期:2025-10-23 浏览次数:
下一篇